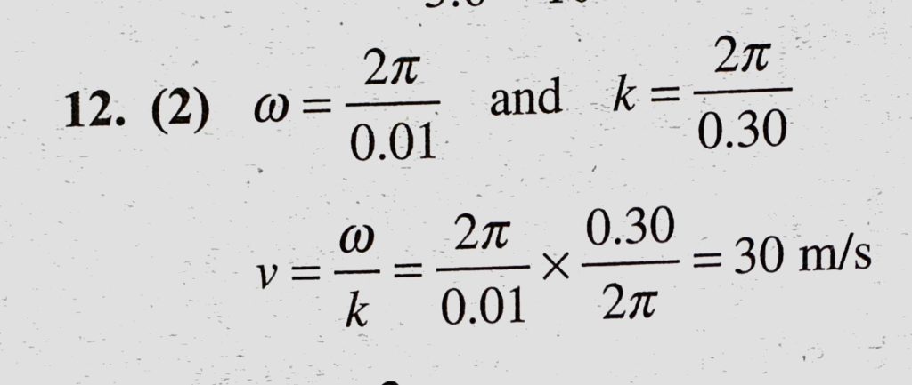
The equation of a progressive wave is y = 0.02 sin 2 pie ( t / 0.01 – x / 0.30) here x and y are in metres and t is in seconds. The velocity of propagation of the wave is The equation of a progressive wave is y = 0.02 sin 2 pie ( t / 0.01 - x / 0.30) here x and y are in metres and t is in seconds. The velocity of propagation of the wave is November 1, 2020 Category: Uncategorised (JEE Advanced Physics by BM Sharma + GMP Solutions) , Facebook Messenger WhatsApp Share this:TwitterFacebook Related