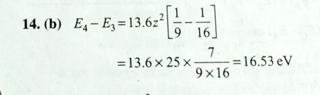
The energy required to excite the electron from the third to the fourth orbit The energy required to excite the electron from the third to the fourth orbit September 14, 2020 Category: Uncategorised (JEE Advanced Physics by BM Sharma + GMP Solutions) , Facebook Messenger WhatsApp Share this:TwitterFacebook Related