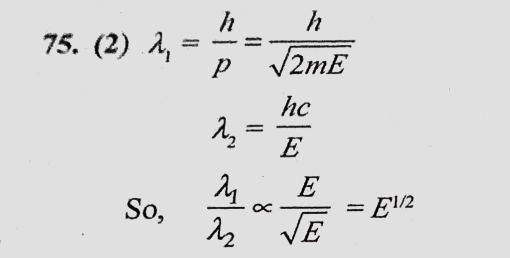
The energy of a photon is equal to the kinetic energy of a proton. The energy of photon is E. Let lemda 1 be the de Broglie wavelength of the proton and lemda 2 be the wavelength of the photon. The energy of a photon is equal to the kinetic energy of a proton. The energy of photon is E. Let lemda 1 be the de Broglie wavelength of the proton and lemda 2 be the wavelength of the photon. October 14, 2020 Category: Uncategorised (JEE Advanced Physics by BM Sharma + GMP Solutions) , Facebook Messenger WhatsApp Share this:TwitterFacebook Related