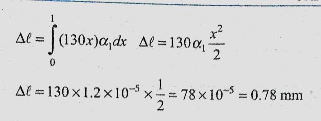
The ends Q and R of two thin wires, PQ and RS, are soldered (joined) together. Initially each of the wires has a length of 1m at 10 C. Now the end P is maintained at 10 C, while the end are soldered (joined) together. Initially each of the wires has a length of 1m at 10 C. Now the end P is maintained at 10 C PQ and RS The ends Q and R of two thin wires while the end October 24, 2020 Category: Uncategorised (JEE Advanced Physics by BM Sharma + GMP Solutions) , Facebook Messenger WhatsApp Share this:TwitterFacebook Related