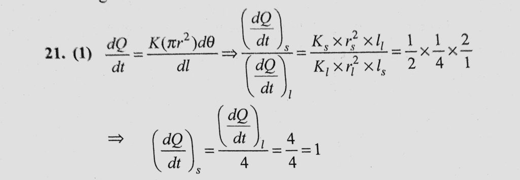
The ends of two rods of different materials with their thermal conductivities, radii of cross-sections and lengths all are in the ratio 1 : 2 are maintained at the same temperature difference. radii of cross-sections and lengths all are in the ratio 1 : 2 are maintained at the same temperature difference. The ends of two rods of different materials with their thermal conductivities October 25, 2020 Category: Uncategorised (JEE Advanced Physics by BM Sharma + GMP Solutions) , Facebook Messenger WhatsApp Share this:TwitterFacebook Related