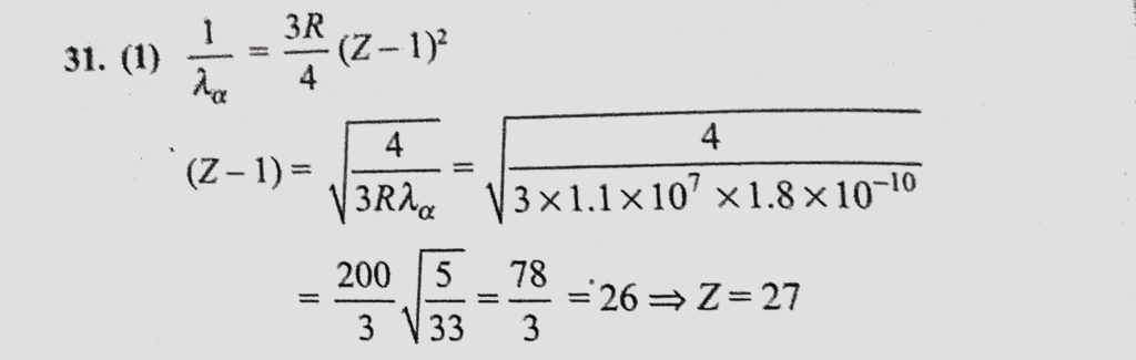
The element which has a K alpha X-rays line of wavelength 1.8 A is The element which has a K alpha X-rays line of wavelength 1.8 A is October 15, 2020 Category: Uncategorised (JEE Advanced Physics by BM Sharma + GMP Solutions) , Facebook Messenger WhatsApp Share this:TwitterFacebook Related