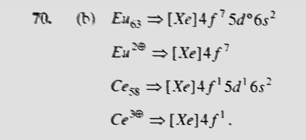
The electronic configurations of bivalent europium and trivalent cerium are (Atomic number : Xe = 54 , Ce = 58, Eu = 63) Ce = 58 Eu = 63 The electronic configurations of bivalent europium and trivalent cerium are (Atomic number : Xe = 54 December 3, 2020 Category: Uncategorised (JEE Advanced Physics by BM Sharma + GMP Solutions) , Facebook Messenger WhatsApp Share this:TwitterFacebook Related