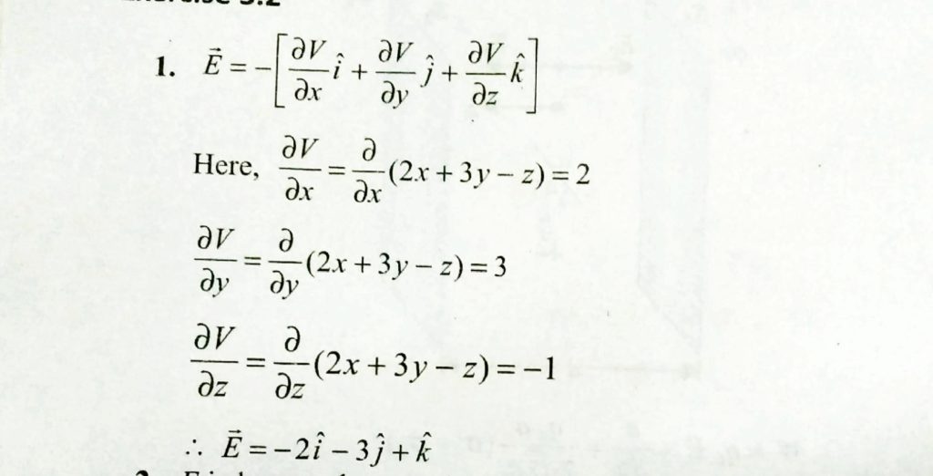
The electric potential in a region is represented as v=2x+3y-z. Obtain expression for electric field strength. The electric potential in a region is represented as v=2x+3y-z. Obtain expression for electric field strength. November 1, 2020 Category: Uncategorised (JEE Advanced Physics by BM Sharma + GMP Solutions) , Facebook Messenger WhatsApp Share this:TwitterFacebook Related