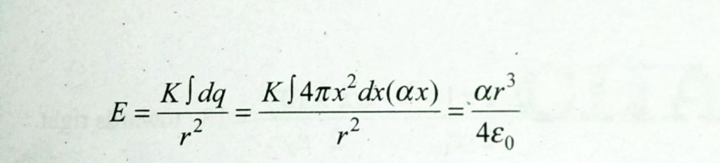
The electric field inside a sphere which carries a charge density propotional to the distance from the origin P = infinity r (infinity is a constant ) is The electric field inside a sphere which carries a charge density propotional to the distance from the origin P = infinity r (infinity is a constant ) is September 17, 2020 Category: Uncategorised (JEE Advanced Physics by BM Sharma + GMP Solutions) , Facebook Messenger WhatsApp Share this:TwitterFacebook Related