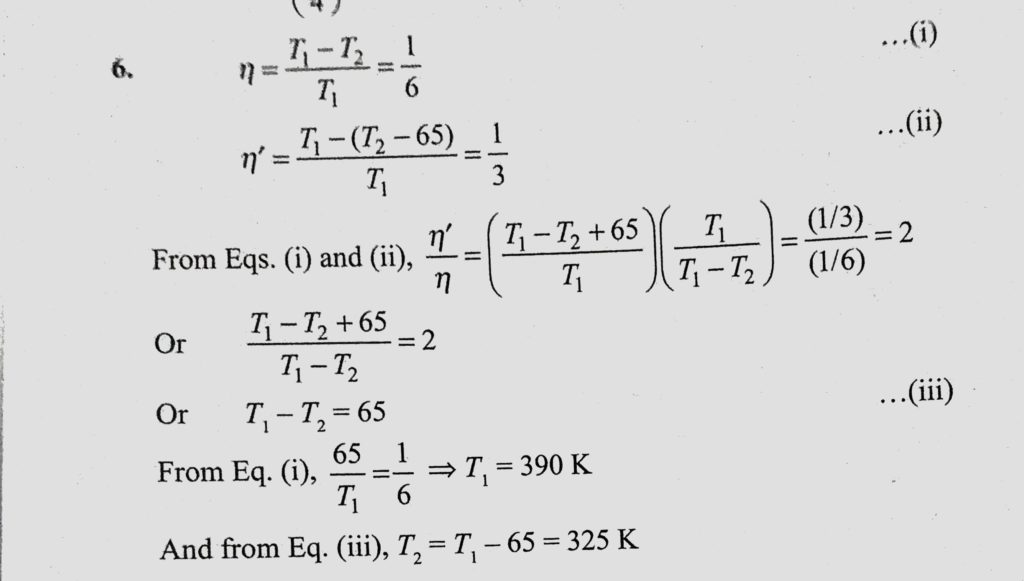
The efficiency of a Carnot cycle is 1/6. By lowering the temperature of sink by 65 K, it increases to 1/3. Calculate the initial and final temperatures of the sink. it increases to 1/3. Calculate the initial and final temperatures of the sink. The efficiency of a Carnot cycle is 1/6. By lowering the temperature of sink by 65 K October 28, 2020 Category: Uncategorised (JEE Advanced Physics by BM Sharma + GMP Solutions) , Facebook Messenger WhatsApp Share this:TwitterFacebook Related