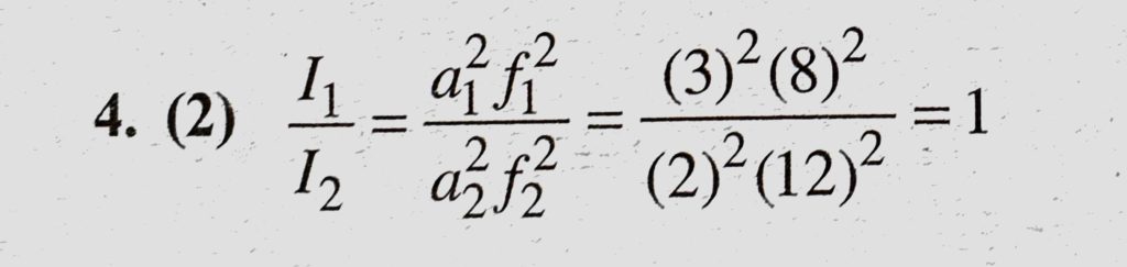
The displacement vs time graph for two waves A and B which travel along the same string are shown in the figure. Their intensity ratio IA / IB is The displacement vs time graph for two waves A and B which travel along the same string are shown in the figure. Their intensity ratio IA / IB is November 1, 2020 Category: Uncategorised (JEE Advanced Physics by BM Sharma + GMP Solutions) , Facebook Messenger WhatsApp Share this:TwitterFacebook Related