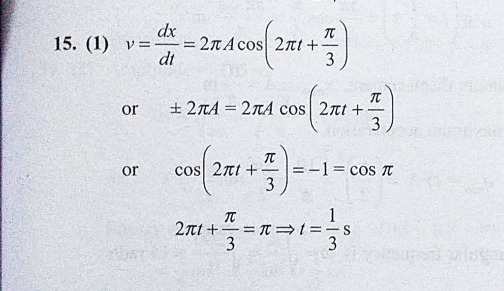
The displacement of a body executing SHM is given by x = A sin (2 pie t + pie/3) . The first time from t = 0 when the velocity is maximum is The displacement of a body executing SHM is given by x = A sin (2 pie t + pie/3) . The first time from t = 0 when the velocity is maximum is October 30, 2020 Category: Uncategorised (JEE Advanced Physics by BM Sharma + GMP Solutions) , Facebook Messenger WhatsApp Share this:TwitterFacebook Related