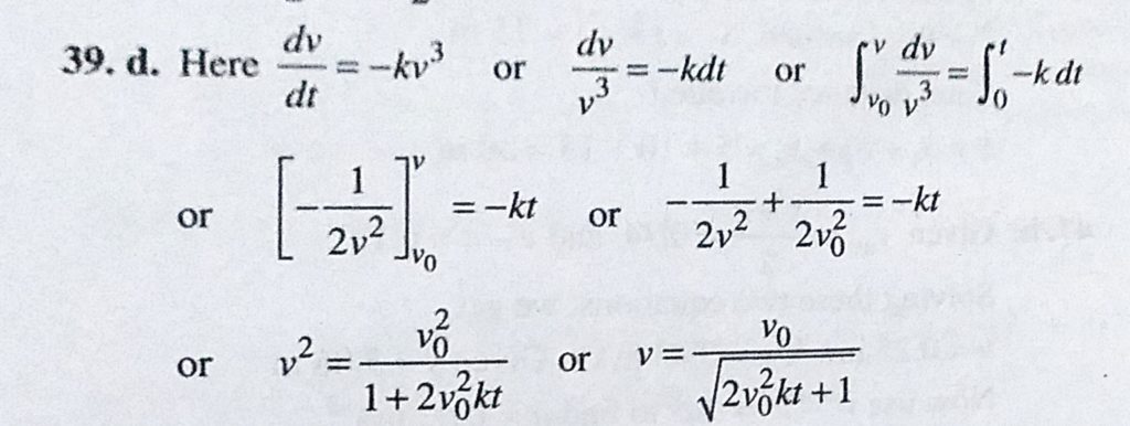
The deceleration experienced by a moving motor boat, after its engine is cut-off is given by dv/dt = -kv^3, where k is constant. If v0 is the magnitude of the velocity at cut-off, the magnitude after its engine is cut-off is given by dv/dt = -kv^3 The deceleration experienced by a moving motor boat the magnitude where k is constant. If v0 is the magnitude of the velocity at cut-off September 19, 2020 Category: Uncategorised (JEE Advanced Physics by BM Sharma + GMP Solutions) , Facebook Messenger WhatsApp Share this:TwitterFacebook Related