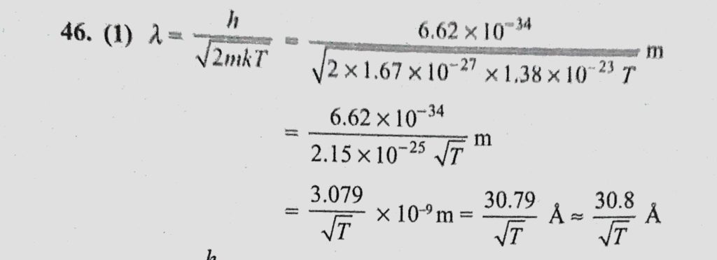
The de Broglie wavelength of neutrons in thermal equilibrium is (given mn = 1.6 * 10^-27 kg) The de Broglie wavelength of neutrons in thermal equilibrium is (given mn = 1.6 * 10^-27 kg) October 14, 2020 Category: Uncategorised (JEE Advanced Physics by BM Sharma + GMP Solutions) , Facebook Messenger WhatsApp Share this:TwitterFacebook Related