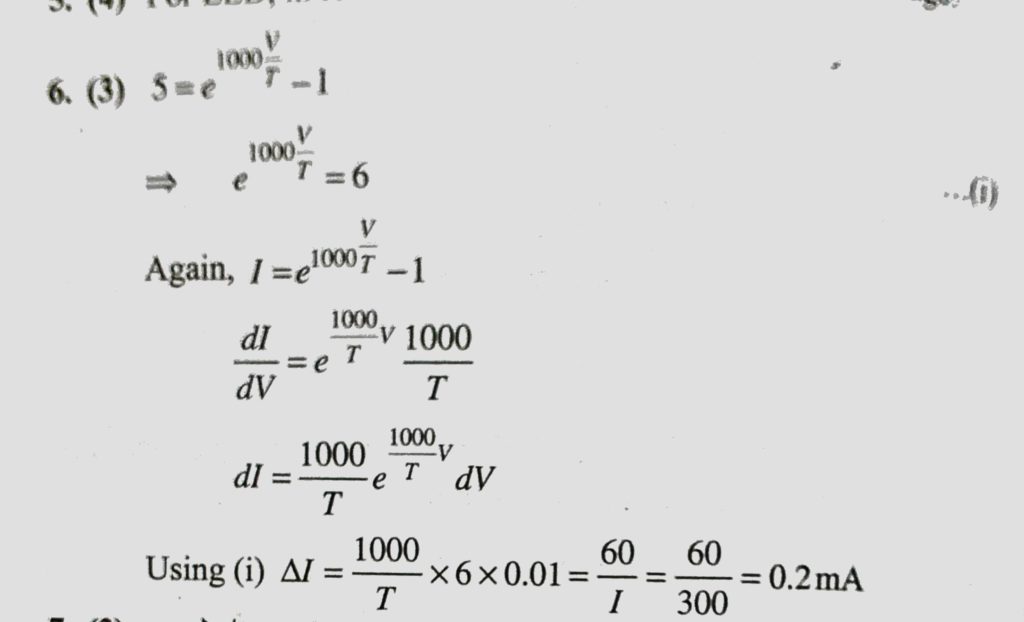
The current votage relation of diode is given by I = (e^ 1000v/t – 1) mA, where the applied voltage V is in volts and the temperature T is in degree kelvin. If a student makes an error The current votage relation of diode is given by I = (e^ 1000v/t - 1) mA where the applied voltage V is in volts and the temperature T is in degree kelvin. If a student makes an error October 22, 2020 Category: Uncategorised (JEE Advanced Physics by BM Sharma + GMP Solutions) , Facebook Messenger WhatsApp Share this:TwitterFacebook Related