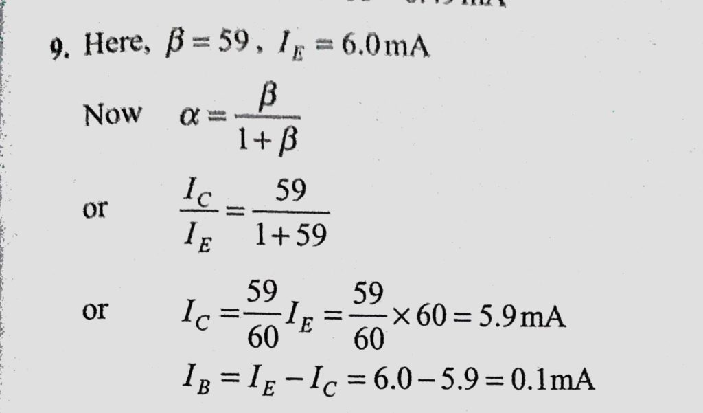
The current gain for common emitter amplifier is 59. If the emitter current is 6.0 mA, find (1) base current (2) collector current find (1) base current (2) collector current The current gain for common emitter amplifier is 59. If the emitter current is 6.0 mA October 21, 2020 Category: Uncategorised (JEE Advanced Physics by BM Sharma + GMP Solutions) , Facebook Messenger WhatsApp Share this:TwitterFacebook Related