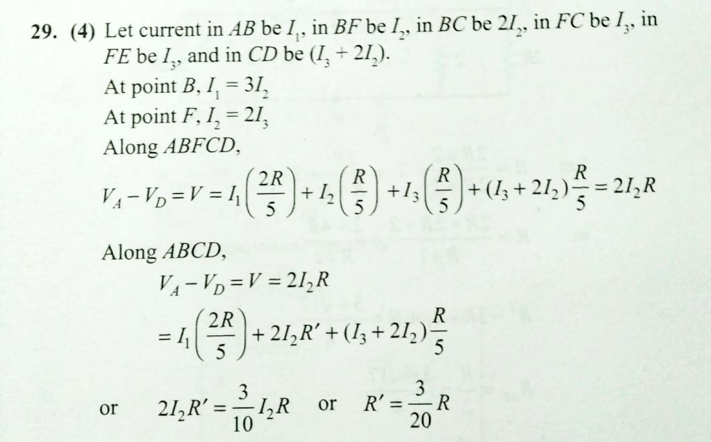
The current enters at A and comes out at D. Some of the resistance are shown. What should be resistance of wire CB so that it draws double of the current that enters the wire BF. The current enters at A and comes out at D. Some of the resistance are shown. What should be resistance of wire CB so that it draws double of the current that enters the wire BF. November 11, 2020 Category: Uncategorised (JEE Advanced Physics by BM Sharma + GMP Solutions) , Facebook Messenger WhatsApp Share this:TwitterFacebook Related