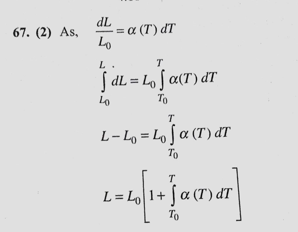
The coefficient of linear expansion for a certain metal varies with temperature as alpha (T). If L0 is the initial length of the metal and the temperature of metal is changed from T0 to The coefficient of linear expansion for a certain metal varies with temperature as alpha (T). If L0 is the initial length of the metal and the temperature of metal is changed from T0 to October 24, 2020 Category: Uncategorised (JEE Advanced Physics by BM Sharma + GMP Solutions) , Facebook Messenger WhatsApp Share this:TwitterFacebook Related