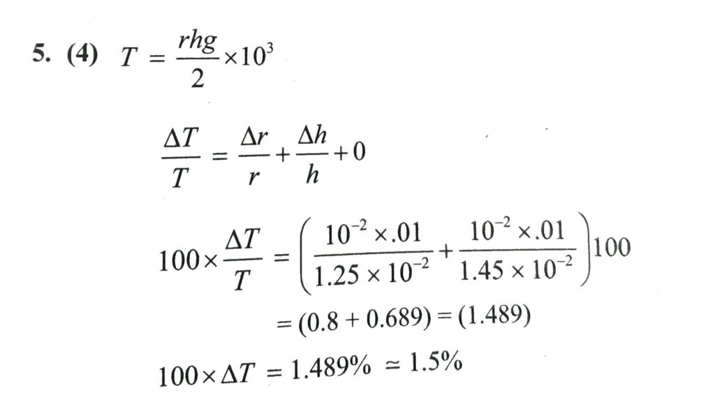
The following observations were taken for dtermining the surface tension of water by capillary tube method: diameter of capillary , D = 1.25 × 10^−2 m and rise of water in capillary , h = 1.45 × 10^−2 m. Taking g = 9.80 m/s^2 and using the relation T = (rgh/2) × 10^3 N/m, what is the possible error in measurement of surface tension T?

