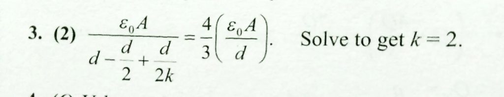
The capacitance of a capacitor between4/3 times its original value if a dielectric slab of thickness t=d/2 is inserted between the plates (d is the separation between the plates). What is the dielectric consant of the slab? Two idential capacitors A nad B are connected to a battery of emf e as shown in figure. Now a dielectric slab is inserted between the plates of capacitor B while battery remains connected . November 8, 2020 Category: Uncategorised (JEE Advanced Physics by BM Sharma + GMP Solutions) , Facebook Messenger WhatsApp Share this:TwitterFacebook Related