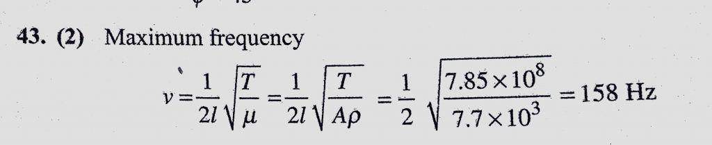
The breaking stress of steel is 7.85 * 10^8 N/m^2 and density of steel is 7.7 * 10^3 kg/m^3. The maximum frequency to which a string 1 m long can be tuned is The breaking stress of steel is 7.85 * 10^8 N/m^2 and density of steel is 7.7 * 10^3 kg/m^3. The maximum frequency to which a string 1 m long can be tuned is November 6, 2020 Category: Uncategorised (JEE Advanced Physics by BM Sharma + GMP Solutions) , Facebook Messenger WhatsApp Share this:TwitterFacebook Related