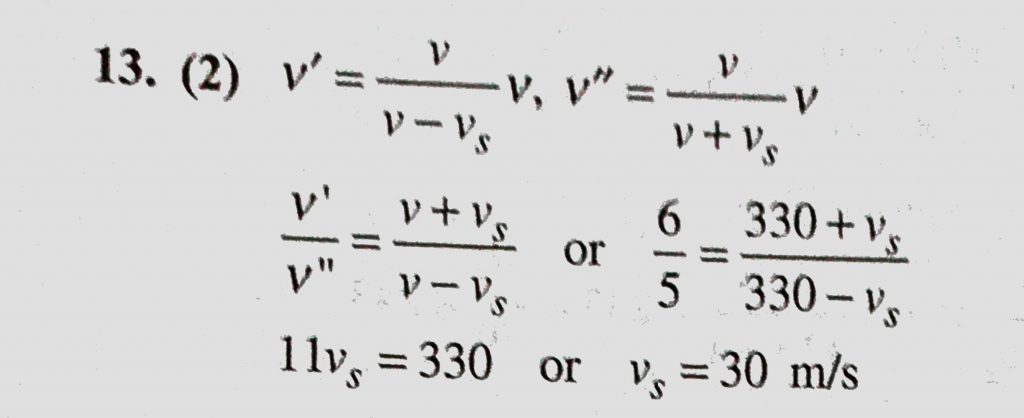
The apparent frequency of the whistle of an engine changes in the ratio of 6 : 5 as the engine passes a stationary observer. If the velocity of sound is 330 m/s, then the velocity The apparent frequency of the whistle of an engine changes in the ratio of 6 : 5 as the engine passes a stationary observer. If the velocity of sound is 330 m/s then the velocity November 7, 2020 Category: Uncategorised (JEE Advanced Physics by BM Sharma + GMP Solutions) , Facebook Messenger WhatsApp Share this:TwitterFacebook Related