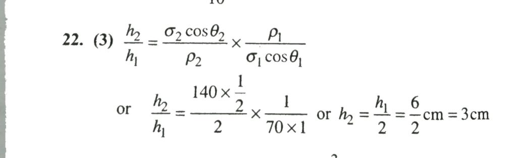
The angle of contact between glass and water is 0∘ and water (surface tension 70 dyn/cm) rises in a glass capillary up to 6cm. Another liquid of surface tension 140 dyn/cm, angle of contact 60∘ and relative density 2 will rise in the same capillary up to

