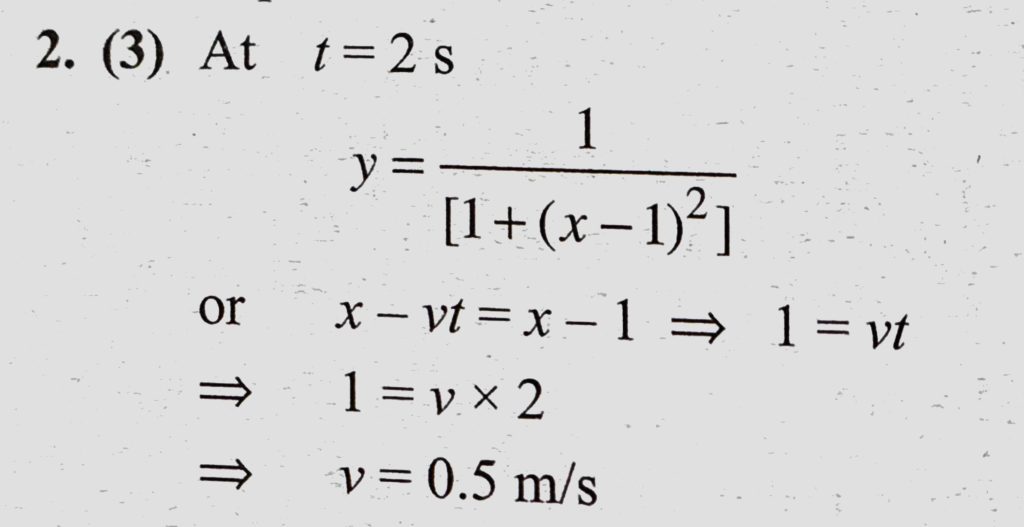
The amplitude of a wave disturbance propagating in the positive y direction is given by y = 1 / 1+x^2 at t = 0 and y = 1 / (1 + (x – 1)^2) at t = 2 s The wave speed is The amplitude of a wave disturbance propagating in the positive y direction is given by y = 1 / 1+x^2 at t = 0 and y = 1 / (1 + (x - 1)^2) at t = 2 s The wave speed is November 1, 2020 Category: Uncategorised (JEE Advanced Physics by BM Sharma + GMP Solutions) , Facebook Messenger WhatsApp Share this:TwitterFacebook Related