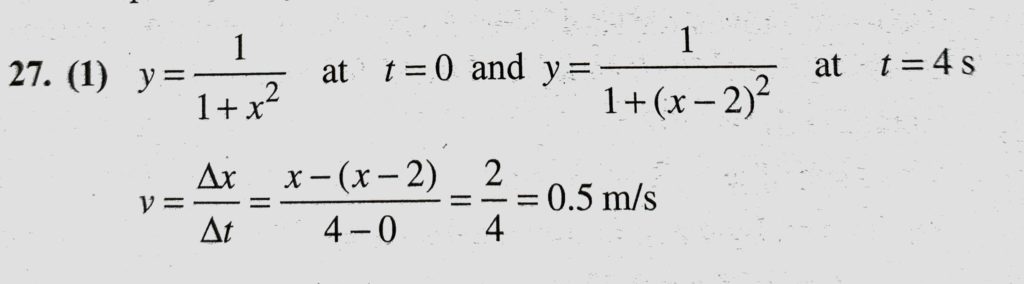
The amplitude of a wave disturbance propagating along positive X-axis is given by y = 1 / (1 + x^2) at t = 0 and y = 1 / (1 + (x – 2)^2) at t = 4 s where x and y are in metre. The The amplitude of a wave disturbance propagating along positive X-axis is given by y = 1 / (1 + x^2) at t = 0 and y = 1 / (1 + (x - 2)^2) at t = 4 s where x and y are in metre. The November 1, 2020 Category: Uncategorised (JEE Advanced Physics by BM Sharma + GMP Solutions) , Facebook Messenger WhatsApp Share this:TwitterFacebook Related