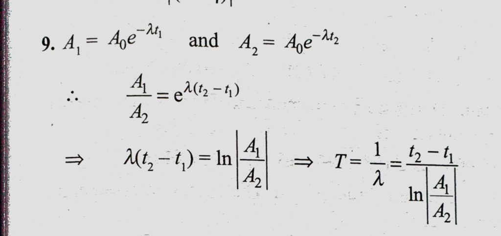
The activity of a sample of radioactive material is A1 at time t1 and A2 at time t2 (t2 > t1). Obtain an expression for its mean-life. The activity of a sample of radioactive material is A1 at time t1 and A2 at time t2 (t2 > t1). Obtain an expression for its mean-life. October 17, 2020 Category: Uncategorised (JEE Advanced Physics by BM Sharma + GMP Solutions) , Facebook Messenger WhatsApp Share this:TwitterFacebook Related