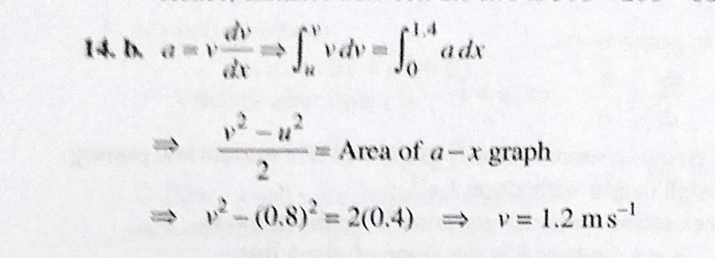
The acceleration of a particle which moves along the positive x-axis varies with its position as shown in Fig. A. 8. If the velocity of the particle is 0.8 m/s at x =0, then velocity of the particle at x = 1.4 m is The acceleration of a particle which moves along the positive x-axis varies with its position as shown in Fig. A. 8. If the velocity of the particle is 0.8 m/s at x =0 then velocity of the particle at x = 1.4 m is September 24, 2020 Category: Uncategorised (JEE Advanced Physics by BM Sharma + GMP Solutions) , Facebook Messenger WhatsApp Share this:TwitterFacebook Related