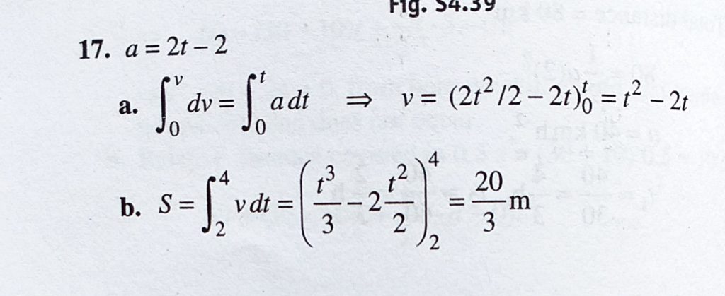
The acceleration of a particle varies with time as shown in Fig 4.159 a. Find an expression for velocity in terms of t. Assume that b = 0 at t = 0. b. Calculate the displacement The acceleration of a particle varies with time as shown in Fig 4.159 a. Find an expression for velocity in terms of t. Assume that b = 0 at t = 0. b. Calculate the displacement September 18, 2020 Category: Uncategorised (JEE Advanced Physics by BM Sharma + GMP Solutions) , Facebook Messenger WhatsApp Share this:TwitterFacebook Related