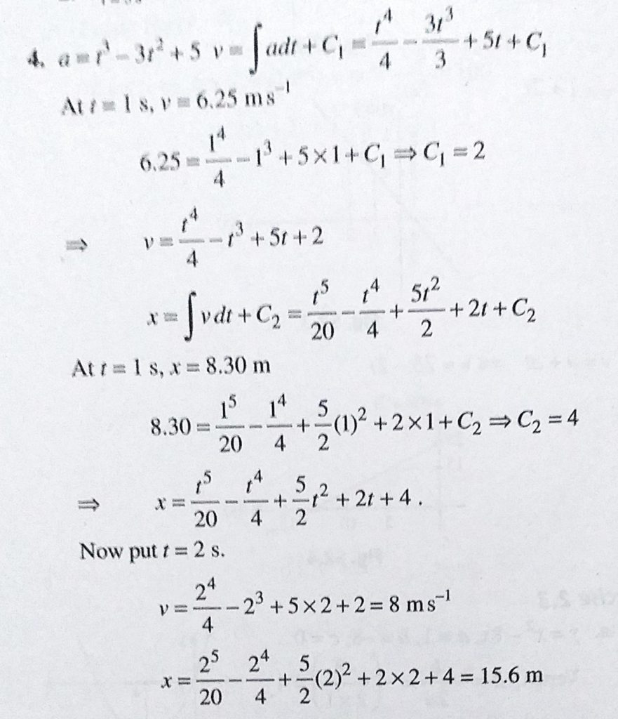
The acceleration of a particle is given by a = t^3 – 3t^2 + 5, where a is in ms^-2 and t is in second. At t = 1 s, the displacement and velocity are 8.30 m and 6.25 ms^-1. respectively. Calculate the displacement and velocity at t = 2 s. The acceleration of a particle is given by a = t^3 - 3t^2 + 5 the displacement and velocity are 8.30 m and 6.25 ms^-1. respectively. Calculate the displacement and velocity at t = 2 s. where a is in ms^-2 and t is in second. At t = 1 s September 16, 2020 Category: Uncategorised (JEE Advanced Physics by BM Sharma + GMP Solutions) , Facebook Messenger WhatsApp Share this:TwitterFacebook Related