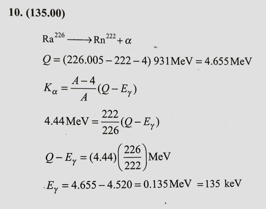
Suppose a 226Ra88 nucleus at rest and in ground state undergoes a-decay to a 222Rn86 nucleus in its excited state. The kinetic energy of the emitted particle is found to be 4,44 MeV. 44 MeV. Suppose a 226Ra88 nucleus at rest and in ground state undergoes a-decay to a 222Rn86 nucleus in its excited state. The kinetic energy of the emitted particle is found to be 4 October 23, 2020 Category: Uncategorised (JEE Advanced Physics by BM Sharma + GMP Solutions) , Facebook Messenger WhatsApp Share this:TwitterFacebook Related