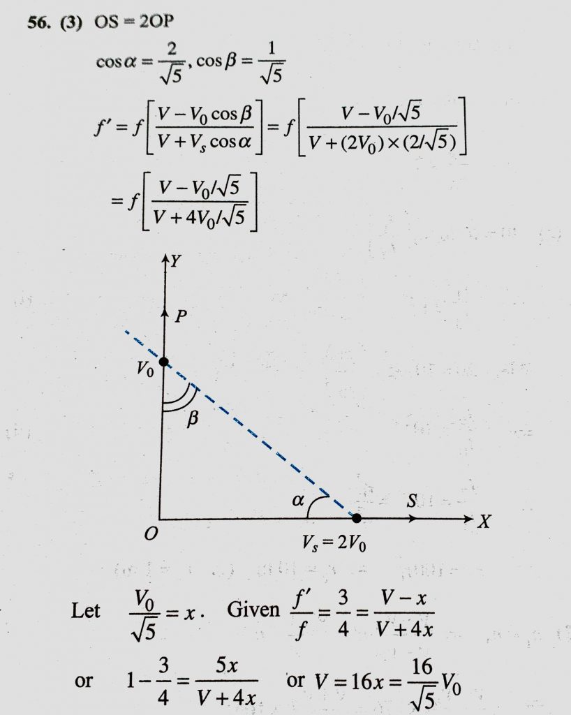
Source and observer start moving simultaneously along x and y axis, respectively. The speed of source is twice the speed of observer, V0. If the ratio of observed frequency to respectively. The speed of source is twice the speed of observer Source and observer start moving simultaneously along x and y axis V0. If the ratio of observed frequency to November 7, 2020 Category: Uncategorised (JEE Advanced Physics by BM Sharma + GMP Solutions) , Facebook Messenger WhatsApp Share this:TwitterFacebook Related