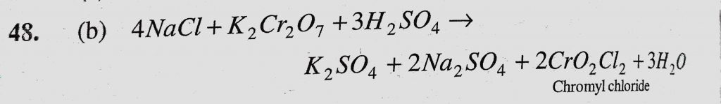
Sodium chloride when heated with conc. H2SO4 and solid potassium dichromate gives (a) Chromic chloride (b) Chromyl chloride (c) Chromous chloride (d) None of these Sodium chloride when heated with conc. H2SO4 and solid potassium dichromate gives (a) Chromic chloride (b) Chromyl chloride (c) Chromous chloride (d) None of these November 24, 2020 Category: Uncategorised (JEE Advanced Physics by BM Sharma + GMP Solutions) , Facebook Messenger WhatsApp Share this:TwitterFacebook Related