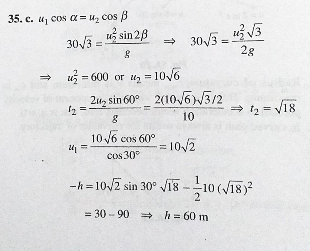
Shots are fired simultaneously form the top and bottom of a vertical cliff with the elevation alpha = 30 , beta = 60, respectively. The shots strike an object simultaneously at the same point. If a = 30 root 3 m beta = 60 respectively. The shots strike an object simultaneously at the same point. If a = 30 root 3 m Shots are fired simultaneously form the top and bottom of a vertical cliff with the elevation alpha = 30 September 24, 2020 Category: Uncategorised (JEE Advanced Physics by BM Sharma + GMP Solutions) , Facebook Messenger WhatsApp Share this:TwitterFacebook Related