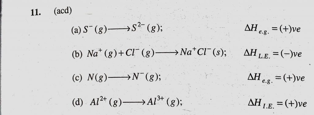
Select equations having endothermic step (a) S-(g) to S 2- (g) (b) Na +(g) + Cl- (g) to NaCl (s) (c) N (g) to N- (g) Select equations having endothermic step (a) S-(g) to S 2- (g) (b) Na +(g) + Cl- (g) to NaCl (s) (c) N (g) to N- (g) November 11, 2020 Category: Uncategorised (JEE Advanced Physics by BM Sharma + GMP Solutions) , Facebook Messenger WhatsApp Share this:TwitterFacebook Related