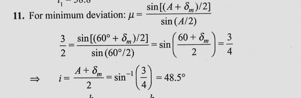
Refracting angle of a prism A = 60 and its refractive index is n = 3/2. What is the angle of incidence i to get minimum deviation. Also, find the minimum deviation. Assume the surrounding medium find the minimum deviation. Assume the surrounding medium Refracting angle of a prism A = 60 and its refractive index is n = 3/2. What is the angle of incidence i to get minimum deviation. Also October 6, 2020 Category: Uncategorised (JEE Advanced Physics by BM Sharma + GMP Solutions) , Facebook Messenger WhatsApp Share this:TwitterFacebook Related