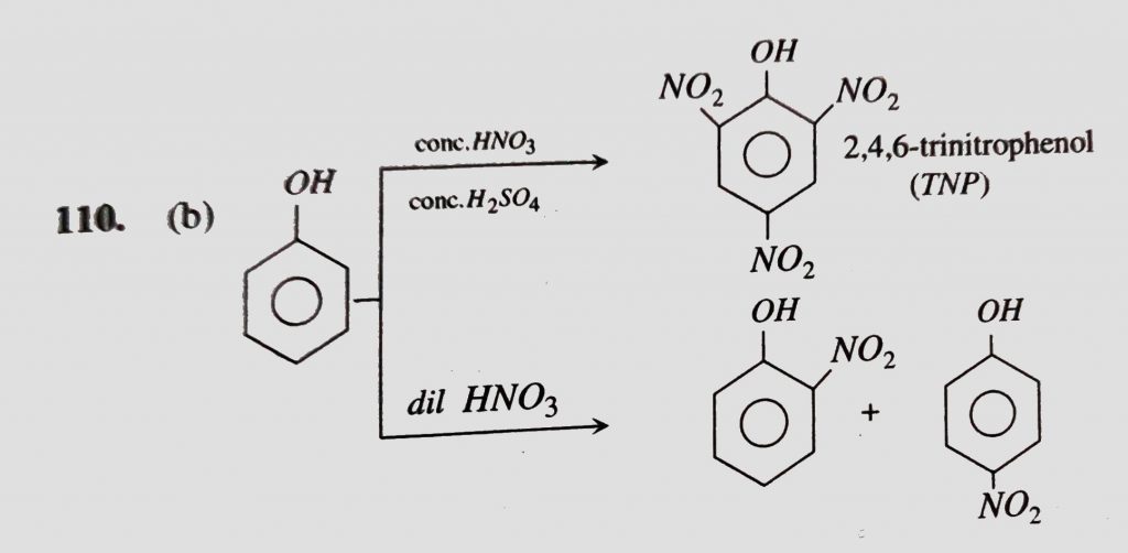
Reaction of phenol with dil. HNO3 gives (a) p and m-nitrophenols (b) o-and p-nitrophenols (c) Picric acid (d) o-and m-nitrophenols Reaction of phenol with dil. HNO3 gives (a) p and m-nitrophenols (b) o-and p-nitrophenols (c) Picric acid (d) o-and m-nitrophenols February 14, 2021 Category: Uncategorised (JEE Advanced Physics by BM Sharma + GMP Solutions) , Facebook Messenger WhatsApp Share this:TwitterFacebook Related