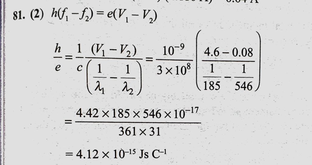
Radiation of wavelength 546 nm falls on a photo cathode and electrons with maximum kinetic energy of 0.18 eV are emitted. When radiation of wavelength 185 nm falls on the same surface, Radiation of wavelength 546 nm falls on a photo cathode and electrons with maximum kinetic energy of 0.18 eV are emitted. When radiation of wavelength 185 nm falls on the same surface October 14, 2020 Category: Uncategorised (JEE Advanced Physics by BM Sharma + GMP Solutions) , Facebook Messenger WhatsApp Share this:TwitterFacebook Related