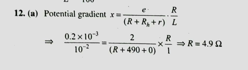
Potentiometer wire of length 1 m is connected in series with 490 ohm resistance and 2 V battery. If 0.2 mV/cm is the potential gradient, then resistance of the potentiometer wire is Potentiometer wire of length 1 m is connected in series with 490 ohm resistance and 2 V battery. If 0.2 mV/cm is the potential gradient then resistance of the potentiometer wire is September 20, 2020 Category: Uncategorised (JEE Advanced Physics by BM Sharma + GMP Solutions) , Facebook Messenger WhatsApp Share this:TwitterFacebook Related