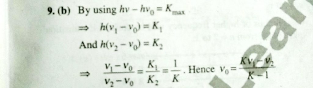
Photoelectric emission is observed from a surface for frequencies v1 and v2 of the incident radiation (v1>v2) . If the maximum kinetic energies of the photoelectrons in two cases are in ratio 1 : K then the threshold frequency v0 is given by. potassium sodium and lithium. The plots are parallel. Correct ranking of the targets according to their work function greatest first will be The figure shows different graphs between stopping potential (V0) and frequency (v) for photosensitive surface of cesium September 13, 2020 Category: Uncategorised (JEE Advanced Physics by BM Sharma + GMP Solutions) , Facebook Messenger WhatsApp Share this:TwitterFacebook Related