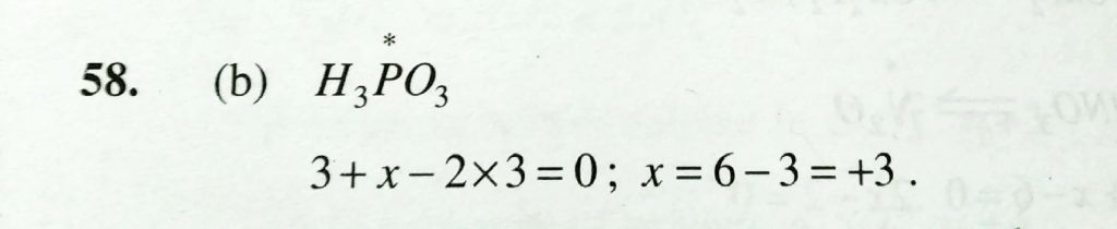
Phosphorous has the oxidation state of +3 in (a) Orthophosphric acid (b) phosphorus acid (c) metaphosphoric acid (d) pyrophosphoric acid Phosphorous has the oxidation state of +3 in (a) Orthophosphric acid (b) phosphorus acid (c) metaphosphoric acid (d) pyrophosphoric acid November 24, 2020 Category: Uncategorised (JEE Advanced Physics by BM Sharma + GMP Solutions) , Facebook Messenger WhatsApp Share this:TwitterFacebook Related