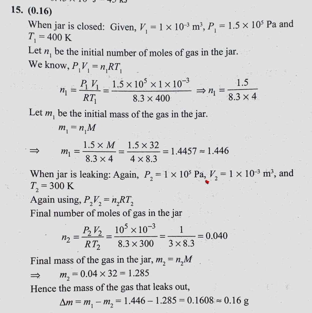
Oxygen is filled in a closed metal jar of volume 1.0 * 10^-3 m^3 at a pressure of 1.5 * 10^5 Pa and temperature 400 K. The jar has a small leak in it. The atmospheric pressure Oxygen is filled in a closed metal jar of volume 1.0 * 10^-3 m^3 at a pressure of 1.5 * 10^5 Pa and temperature 400 K. The jar has a small leak in it. The atmospheric pressure October 28, 2020 Category: Uncategorised (JEE Advanced Physics by BM Sharma + GMP Solutions) , Facebook Messenger WhatsApp Share this:TwitterFacebook Related