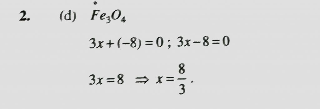
Oxidation state of Fe in Fe3O4 is (a) 3/2 (b) 4/5 (c) 5/4 (d) 8/3 Oxidation state of Fe in Fe3O4 is (a) 3/2 (b) 4/5 (c) 5/4 (d) 8/3 November 23, 2020 Category: Uncategorised (JEE Advanced Physics by BM Sharma + GMP Solutions) , Facebook Messenger WhatsApp Share this:TwitterFacebook Related