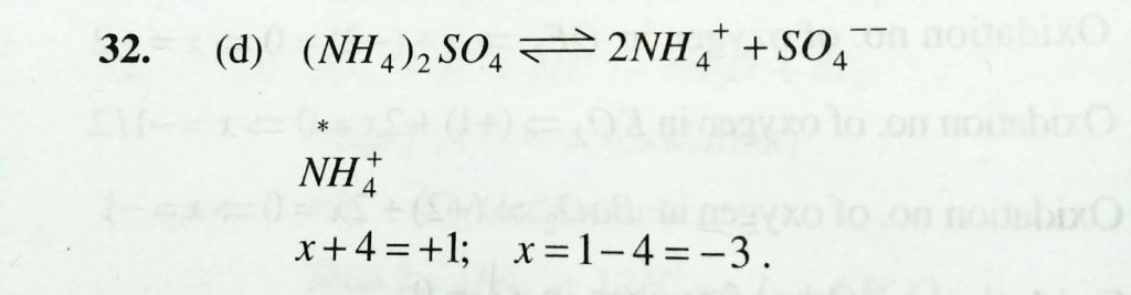
Oxidation number of N in (NH4)2 SO4 is (a) -1/3 (b) -1 (c) +1 (d) -3 Oxidation number of N in (NH4)2 SO4 is (a) -1/3 (b) -1 (c) +1 (d) -3 November 24, 2020 Category: Uncategorised (JEE Advanced Physics by BM Sharma + GMP Solutions) , Facebook Messenger WhatsApp Share this:TwitterFacebook Related