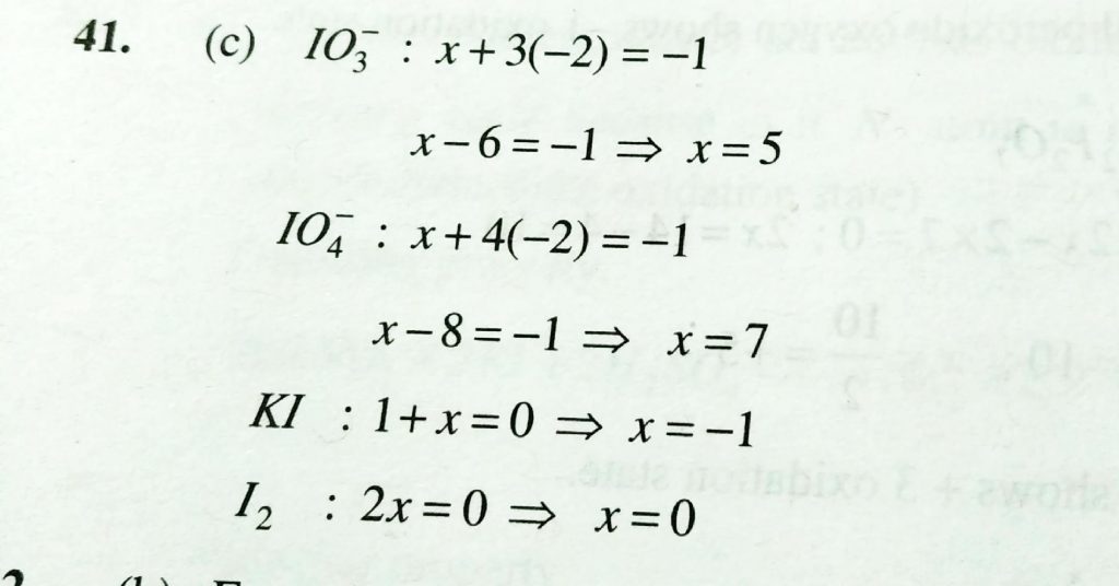
Oxidation number of iodine in IO3^- , IO4^- , KI and I2 respectively are IO4^- KI and I2 respectively are Oxidation number of iodine in IO3^- November 24, 2020 Category: Uncategorised (JEE Advanced Physics by BM Sharma + GMP Solutions) , Facebook Messenger WhatsApp Share this:TwitterFacebook Related