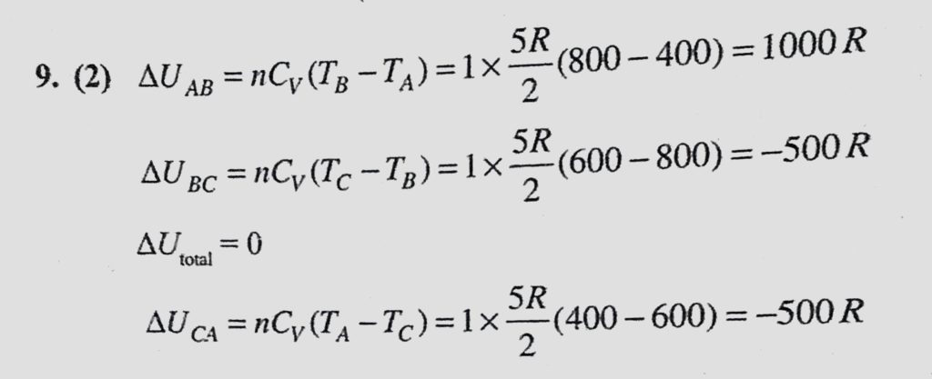
One mole of diatomic ideal gas undergoes a cyclic process ABC as shows in the figure. The process BC is adiabatic. The temperatures at A, B and C are 400 K, 800 K and 600 k respectively. 800 K and 600 k respectively. B and C are 400 K One mole of diatomic ideal gas undergoes a cyclic process ABC as shows in the figure. The process BC is adiabatic. The temperatures at A October 29, 2020 Category: Uncategorised (JEE Advanced Physics by BM Sharma + GMP Solutions) , Facebook Messenger WhatsApp Share this:TwitterFacebook Related