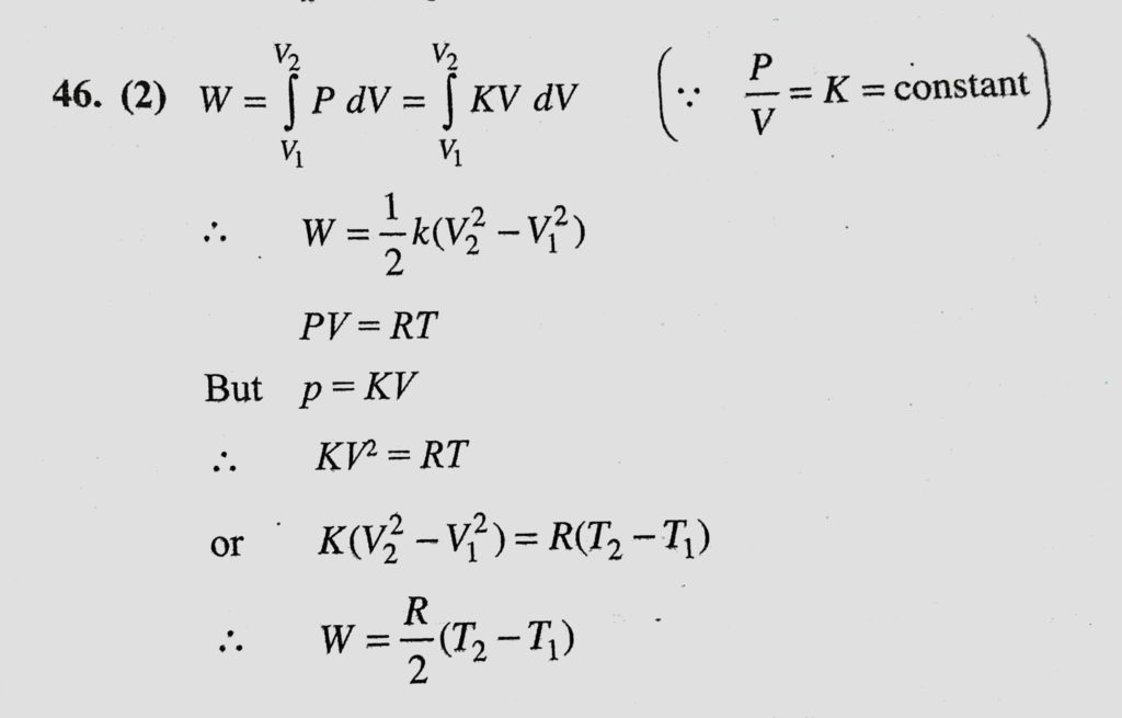
One mole of an ideal gas at temperature T1 expands according to the law (P/V) = constant. Find the work done when the final temperature becomes T2. One mole of an ideal gas at temperature T1 expands according to the law (P/V) = constant. Find the work done when the final temperature becomes T2. October 29, 2020 Category: Uncategorised (JEE Advanced Physics by BM Sharma + GMP Solutions) , Facebook Messenger WhatsApp Share this:TwitterFacebook Related