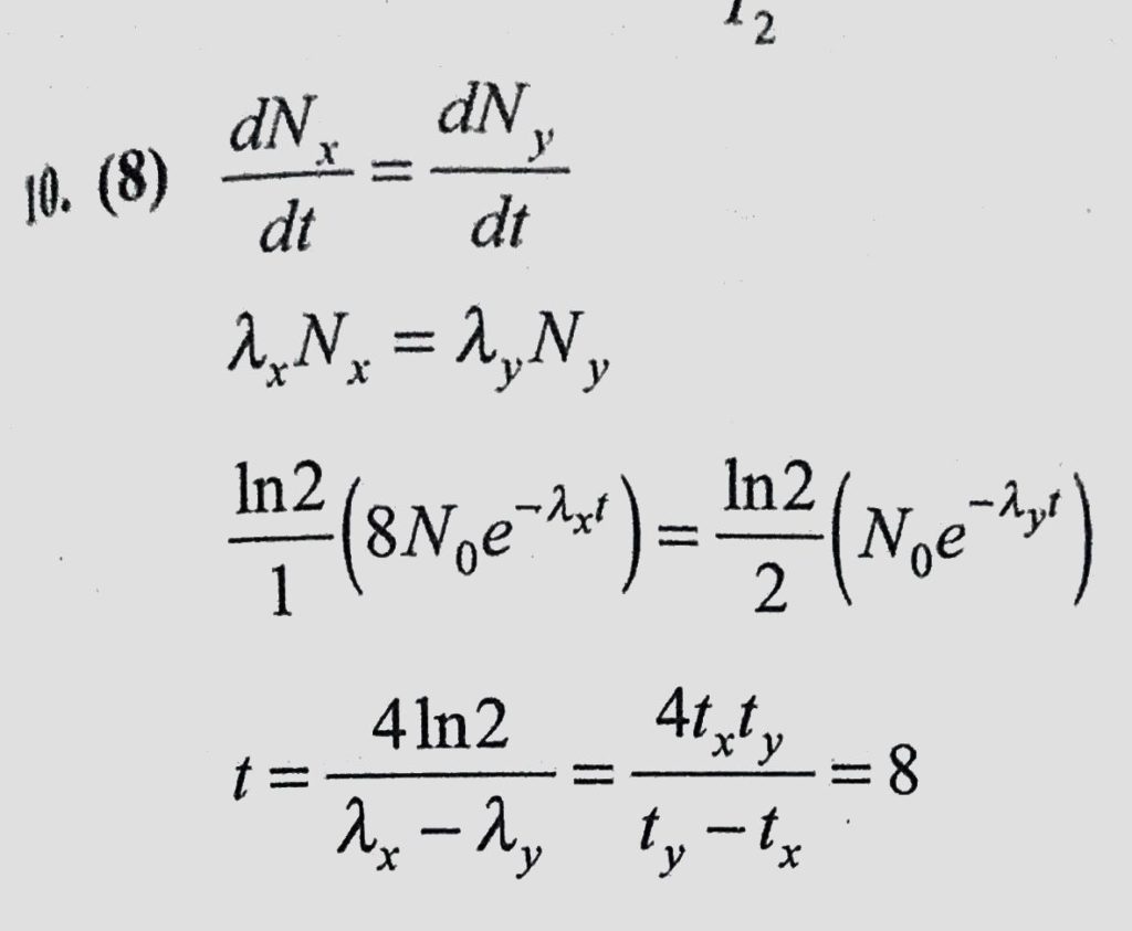
Nuclei X and Y convert into a stable nucleus Z. At t = 0 the number of nuclei of X is 8 times that of Y. Half life of X is 1 hour and half life of Y is 2 hour. Nucleus X is converted into Z by Nuclei X and Y convert into a stable nucleus Z. At t = 0 the number of nuclei of X is 8 times that of Y. Half life of X is 1 hour and half life of Y is 2 hour. Nucleus X is converted into Z by October 20, 2020 Category: Uncategorised (JEE Advanced Physics by BM Sharma + GMP Solutions) , Facebook Messenger WhatsApp Share this:TwitterFacebook Related