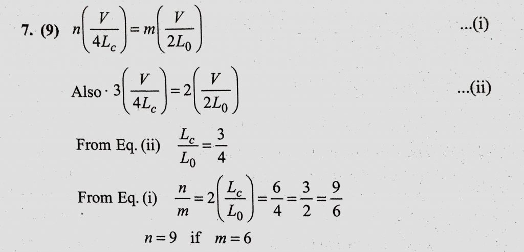
nth harmonic of a closed organ pipe is equal to mth harmonic of an open pipe. First overtone frequency of the closed organ pipe is also equal to first overtone frequency of the open nth harmonic of a closed organ pipe is equal to mth harmonic of an open pipe. First overtone frequency of the closed organ pipe is also equal to first overtone frequency of the open November 6, 2020 Category: Uncategorised (JEE Advanced Physics by BM Sharma + GMP Solutions) , Facebook Messenger WhatsApp Share this:TwitterFacebook Related