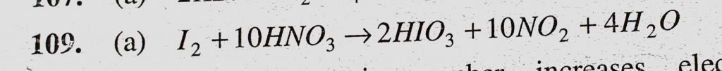
Nitric acid converts iodine into (a) Iodic acid (b) Hydroiodic acid (c) Iodine nitrate (d) Iodine pentaoxide Nitric acid converts iodine into (a) Iodic acid (b) Hydroiodic acid (c) Iodine nitrate (d) Iodine pentaoxide November 24, 2020 Category: Uncategorised (JEE Advanced Physics by BM Sharma + GMP Solutions) , Facebook Messenger WhatsApp Share this:TwitterFacebook Related