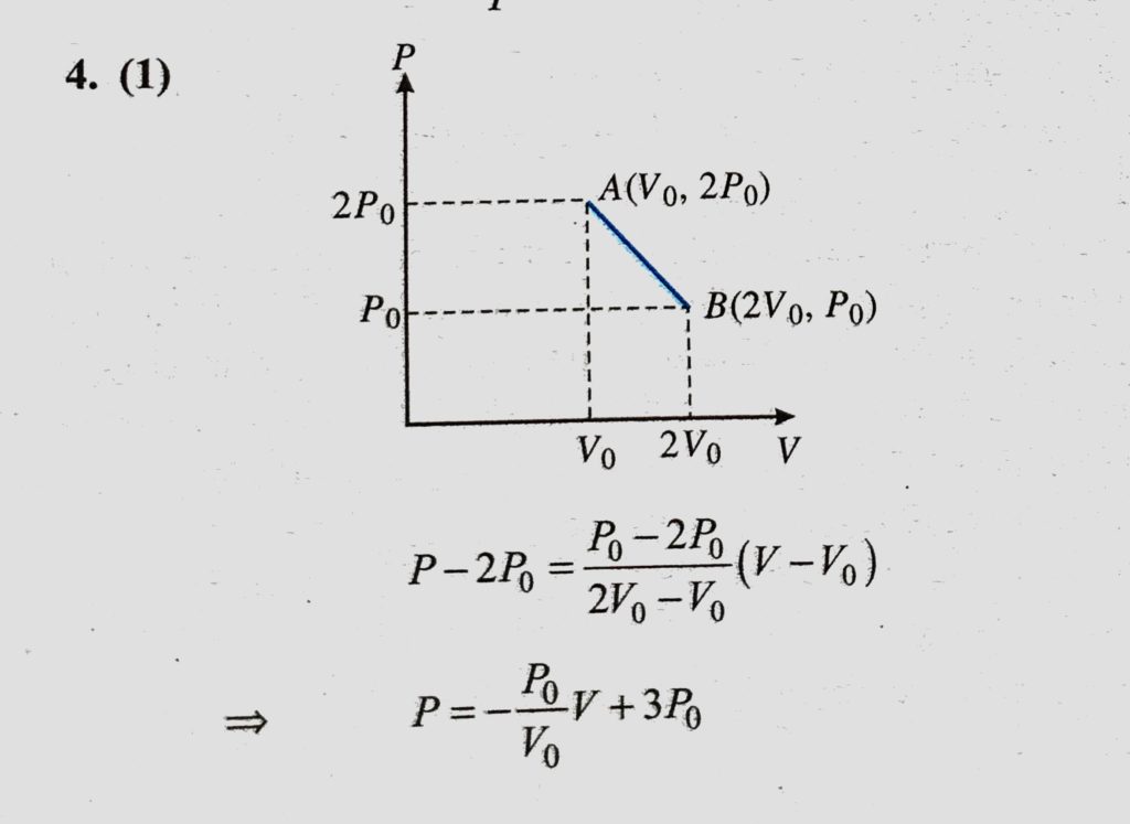
‘n’ moles of an ideal gas undergoes a process A to B as shown in the figure. The maximum temperature of the gas during the process will be 'n' moles of an ideal gas undergoes a process A to B as shown in the figure. The maximum temperature of the gas during the process will be October 28, 2020 Category: Uncategorised (JEE Advanced Physics by BM Sharma + GMP Solutions) , Facebook Messenger WhatsApp Share this:TwitterFacebook Related